Posts

Showing posts from January 29, 2019

Jaime Gómez

Image
Jaime Gómez Biografia Naixement 29 desembre 1929 Manzanillo Mort 4 maig 2008 (78 anys) Guadalajara Causa de mort Càncer de pàncrees Activitat Ocupació Futbolista i jugador de voleibol Esport futbol Posició a l'equip Porter de futbol Clubs professionals Anys Equip 1950–1964 CD Guadalajara 1964–1967 CF Monterrey 1968–1969 CD Oro 1969–1970 CF Laguna Selecció nacional Anys Equip 1956–1960 Mèxic Participà en Data Activitat 1962 Mundial de Futbol 1962 1958 Mundial de Futbol 1958 Jaime Gómez (29 de desembre de 1929 - 4 de maig de 2008) fou un futbolista mexicà. Selecció de Mèxic Va formar part de l'equip mexicà a la Copa del Món de 1958. [1] [2] [3] [4] Referències ↑ 1958 FIFA World Cup Sweden Arxivat 2011-10-13 at the Wayback Machine. ↑ Jaime Gómez a National-Football-Teams.com (anglès) ↑ Jaime Gómez Fitxa i estadístiques a l...

Manuel Camacho

Image
Manuel Camacho Biografia Naixement Manuel Camacho Meléndez 29 abril 1929 Jalisco Mort 24 setembre 2008 (79 anys) San Diego Activitat Ocupació Futbolista Esport futbol Posició a l'equip Porter de futbol Clubs professionals Anys Equip 1944–1946 Club America 1946–1948 CD Veracruz 1948–1949 Asturias FC 1950–1953 Atletico Marte 1953–1955 Club America 1955–1959 Deportivo Toluca 1961–1964 Club America 1964–1966 Atlante FC 1967 Chicago Spurs Selecció nacional Anys Equip PJ (g) 1956 Mèxic 1 (0) Participà en Data Activitat 1958 Mundial de Futbol 1958 Manuel Camacho Meléndez (6 d'abril de 1929 - 24 de setembre de 2008) fou un futbolista mexicà. Selecció de Mèxic Va formar part de l'equip mexicà a la Copa del Món de 1958. [1] [2] [3] Referències ↑ 1958 FIFA World Cup ...

Enrique Sesma

Image
Enrique Sesma Biografia Naixement 22 abril 1927 (91 anys) Puebla de Zaragoza Alçària 167 centimetres (1,67 m) Pes 66 kg Activitat Ocupació Futbolista Esport futbol Posició a l'equip Davanter Clubs professionals Anys Equip 1948-1954 Club Deportivo Marte 1954-1960 Deportivo Toluca Fútbol Club 1960-1961 Club de Fútbol Atlante Selecció nacional Anys Equip PJ (g) 1949-1958 Mèxic 10 (2) Participà en Data Activitat 1958 Mundial de Futbol 1958 Enrique Sesma (22 d'abril de 1927) és un exfutbolista mexicà. Selecció de Mèxic Va formar part de l'equip mexicà a la Copa del Món de 1958. [1] [2] [3] Referències ↑ 1958 FIFA World Cup Sweden Arxivat 13-10-2011 at the Wayback Machine. ↑ Enrique Sesma Fitxa i estadístiques a la FIFA ↑ CARRILLO , Omar. La Historia de las Copas del Mundo: Crónicas de la Selección Mexicana,...

Crescencio Gutiérrez

Image
Crescencio Gutiérrez Biografia Naixement 26 octubre 1933 (85 anys) Guadalajara Alçària 176 centimetres (1,76 m) Activitat Ocupació Futbolista Esport futbol Posició a l'equip Davanter Clubs professionals Anys Equip 1951-1962 Club Deportivo Guadalajara Selecció nacional Anys Equip PJ (g) 1957-1961 Mèxic 12 (6) Participà en Data Activitat 1958 Mundial de Futbol 1958 Crescencio Gutiérrez Aldana (26 d'octubre de 1933) és un exfutbolista mexicà. Selecció de Mèxic Va formar part de l'equip mexicà a la Copa del Món de 1958. [1] [2] [3] Referències ↑ 1958 FIFA World Cup Sweden Arxivat 13-10-2011 at the Wayback Machine. ↑ Crescencio Gutiérrez Fitxa i estadístiques a la FIFA ↑ CARRILLO , Omar. La Historia de las Copas del Mundo: Crónicas de la Selección Mexicana, El Tri en cada mundial. . Mèxic: Editorial Televisa edición, 2006.   ...

Francisco Flores Córdoba

Image
Francisco Flores Biografia Naixement 18 gener 1933 Guadalajara Mort 13 novembre 1986 (53 anys) Guadalajara Activitat Ocupació Futbolista Esport futbol Posició a l'equip Centrecampista Clubs professionals Club Deportivo Guadalajara Selecció nacional Anys Equip PJ (g) 1958-1961 Mèxic 13 (5) Participà en Data Activitat 1958 Mundial de Futbol 1958 Francisco Flores Córdoba (12 de febrer de 1926 - 13 de novembre de 1986) fou un futbolista mexicà. Selecció de Mèxic Va formar part de l'equip mexicà a la Copa del Món de 1958. [1] [2] [3] [4] Referències ↑ «Francisco Flores». worldfootball . [Consulta: 18 desembre 2011]. ↑ 1958 FIFA World Cup Sweden Arxivat 13-10-2011 at the Wayback Machine. ↑ Francisco Flores Córdoba Fitxa i estadístiques a la FIFA ↑ CARRILLO , Omar. La Historia de las Copas del Mundo: Crónicas de la Selección Mexicana, El Tri...

Jorge Romo

Image
Jorge Romo Biografia Naixement 20 abril 1923 Ciutat de Mèxic Mort 17 juny 2014 (91 anys) Ciutat de Mèxic Activitat Ocupació Futbolista Esport futbol Posició a l'equip Defensa Clubs professionals Anys Equip 1947-1950 Club de Fútbol Asturias 1950-1954 Club Deportivo Marte 1954-1961 Deportivo Toluca Fútbol Club Selecció nacional Anys Equip PJ (g) 1949-1960 Mèxic 13 (0) Participà en Data Activitat 1958 Mundial de Futbol 1958 1954 Mundial de Futbol 1954 Jorge Romo Fuentes (20 d'abril de 1924 - 17 de juny de 2014) fou un futbolista mexicà. Selecció de Mèxic Va formar part de l'equip mexicà a la Copa del Món de 1954. [1] [2] [3] Fou jugador del Club Deportivo Marte i Deportivo Toluca. [4] [5] Referències ↑ Jorge Romo Fitxa i estadístiques a la FIFA ↑ CARRILLO , Omar. La Historia de las Copas del Mundo: Crónicas ...

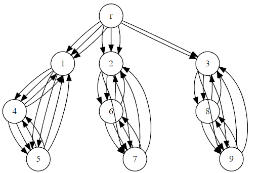
graphviz overlap edges and arrows

Image
3 So I was using graphviz and wrote the following piece: digraph MyGraph { rankdir=TB; size="8,5"; node [shape = circle]; 1 2 3 4 5 6 7 8 9 r 1->4 1->4 1->5 1->5 2->6 2->6 2->7 2->7 3->8 3->8 3->9 3->9 4->1 4->1 4->5 4->5 5->1 5->1 5->4 5->4 6->2 6->2 6->7 6->7 7->2 7->2 7->6 7->6 8->3 8->3 8->9 8->9 9->3 9->3 9->8 9->8 r->1 r->1 r->1 r->2 r->2 r->2 r->3 r->3 } Output: I don't like it that the edges overlap (meet). Is th...